The war in Ukraine has made one thing painfully clear: reducing Europe’s dependence on fossil fuels is no longer just about fighting climate change. It is equally about preventing future inflationary shocks — like those that eroded European workers’ purchasing power between 2022 and 2024 — and regaining the EU’s economic sovereignty.
While decarbonisation and climate goals remain extremely urgent, accelerating the shift towards a fossil-free and technologically autonomous energy system — from batteries to solar panels — has become crucial for restoring competitiveness and ensuring a socially sustainable growth model. Yet this is anything but an easy task. The path ahead is riddled with obstacles: external dependencies, internal asymmetries, and fiscal constraints that continue to limit the EU’s capacity to invest where it is needed most.
First, the EU remains heavily dependent on imports for most of the raw materials, technologies, and components needed to accelerate the green transition. This vulnerability partly results from almost two decades of neglecting industrial policy and underinvestment in clean technologies. During this period, industrial priorities were shaped by the interests of dominant exporting sectors — particularly large (mostly German) car manufacturers — which, blinded by their immense diesel-related profits, remained reluctant to shift towards greener alternatives.
Second, the lack of a common EU budget and fiscal rules that constrain public investment capacity make progress even harder, especially because those ahead in this technological race (notably China) can count on vastly superior resources. Trump’s trade and technology wars are likely to further complicate the European situation, introducing new layers of complexity.
Third, the EU faces deep internal divides. The countries expected to face the highest restructuring costs from the green transition often lack both the productive-technological capabilities and the fiscal capacity needed to support the workers and territories most affected.
Despite the proliferation of policy initiatives — the Green New Deal, REPowerEU — aimed at accelerating the green transition, resources remain insufficient to meet the European economy’s needs. Likewise, there appears to be little awareness about the importance of reconciling decarbonisation efforts with reduction of internal divides.
An emblematic example is the redirection of significant cohesion funds towards financing green initiatives — undermining support for the very regions most in need of structural investment. In this context, understanding how EU member states are positioned in terms of energy vulnerability and resilience — how prone they are to energy shocks, what socio-economic costs are likely to arise, and how fast they can recover — becomes crucial for evaluating the adequacy of current green industrial policies, both at national and EU levels.
EU Energy Vulnerability and Resilience: A Highly Mixed Picture
In a recent study, we provide detailed mapping of the structural factors shaping energy vulnerability and resilience across the EU. Building on this mapping, we assess whether current green industrial policies are likely to exacerbate internal divides — further weakening the EU in the new global context — or instead promote convergence, enabling periphery regions to catch up in terms of productive-technological capabilities and growth.
Energy vulnerability refers to the degree to which a country is exposed to energy shocks — whether due to overreliance on imports, fossil fuels, or a handful of suppliers. Resilience, on the other hand, reflects a country’s ability to adapt — to diversify sources, ramp up domestic capacity, and protect households and firms from economic fallout.
These are not symmetric concepts. A country can be highly vulnerable (dependent on Russian gas, for instance) yet still resilient (due to strong fiscal capacity or renewable infrastructure). Conversely, a country with low vulnerability can still lack the resilience needed to cope with a shock.
We rely on a rich set of indicators grouped into five main dimensions: energy availability (import dependency, supply mix); energy affordability (electricity prices, vulnerable households); technological capabilities (green patents, R&D); energy intensity (energy used per unit of GDP); and environmental sustainability (CO2 emissions, land use). This information allows us to rank EU countries in terms of their relative energy vulnerability and quantify their room for manoeuvre in facing future crises.
Even though the share of renewables in the energy mix has risen since the early 2000s, the EU as a whole remains highly dependent on fossil fuels (see Figure 1). In 2022, oil and gas accounted for 60 per cent of the EU’s energy supply, whilst imports covered over 63 per cent of its gross available energy.
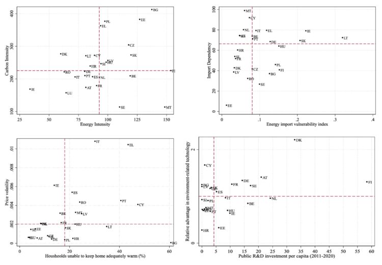
Yet, as is often the case, EU-wide averages mask stark national differences. Member States vary widely in terms of import dependency (Figure 2) as well as across several other key dimensions, including energy intensity, affordability, and technological capacity (Figure 3).
Figure 1. EU energy portfolio by source (1995–2022). Source: Eurostat.

Source: Guarascio et. al. (2025)
Energy and carbon intensity — indicators of efficiency and sustainability — vary significantly across the EU. Bulgaria and Poland remain amongst the most carbon- and energy-intensive economies in the EU, whilst countries like Italy, Germany, and Austria perform considerably better. Poland also shows low innovation capacity and limited investment in green R&D, raising concerns about its readiness to decarbonise.
Import dependency ranges from below 10 per cent in Estonia to nearly 100 per cent in Malta and Cyprus. Yet vulnerability depends not only on dependency levels but also on diversification. Lithuania and Slovakia, for example, combine high dependency with concentrated supplier bases, leaving them particularly vulnerable to external shocks.
Large EU economies show divergent profiles. Italy and Spain are exposed on multiple fronts: both face high electricity price volatility, large shares of vulnerable households, and relatively low levels of renewable energy deployment. Italy also lags behind in green patenting and public R&D. France presents a more balanced picture but still underperforms in renewable deployment relative to its potential. Germany stands out for its strong resilience: despite high import dependency, it leads in innovation, manufacturing capacity, and public green investment.
These asymmetries are not new, but they are becoming more problematic in a global context marked by “weaponised interdependencies”, trade wars, and risks of further inflationary shocks. Without greater coordination and targeted support, green policies may deepen fragmentation — and weaken the EU’s collective capacity to manage future energy crises.
Figure 2. Energy import dependency by country, 2022.

Source: Guarascio et al. (2025); Note: EID = net energy imports / gross available energy.
Decarbonisation is often presented as a virtuous way to combine environmental sustainability and energy security. However, without an adequate supply of green goods and technologies, this means replacing old dependencies (oil and gas) with new ones.
Take solar energy: whilst deployment is surging, also thanks to rather generous demand-side policies (subsidies), 96 per cent of EU photovoltaic panel imports come from China. Relatedly, of the 400,000 workers employed in the EU solar industry, just eight per cent work in manufacturing. The rest are in installation and services — jobs that, whilst essential, do not necessarily reflect a strengthening of industrial capacity.
Wind energy tells a similar story. Domestic manufacturing capacity exists — especially in Germany, Spain, and Denmark — but it cannot fully meet demand, leading to increasing imports.
The situation is even worse for lithium batteries, which are critical for producing electric vehicles. According to ACEA, in 2023 China accounted for 83 per cent of global lithium battery production, whilst the EU share stood at a meagre seven per cent (with 75 per cent of the companies involved in production being headquartered in South Korea). That same year, the EU imported $27 billion worth of batteries from China alone.
Internally, production is significantly concentrated: six countries (Germany, Hungary, Sweden, France, Poland, Spain) host nearly all EU battery factories. Two elements clearly stand out: a generalised weakness of the European economy concerning productive capabilities in key industrial domains; and persistent internal asymmetries that could be exacerbated if demand-side policies are not matched by vigorous and well-coordinated green industrial policies.
Figure 3. Mapping of energy vulnerability and resilience dimensions

Source: Guarascio et. al. (2025) Note: dashed lines denote median values
Differential EU Policy Responses Marked by Lacking Technological Capacities and Financial Resources
Among other factors, one element helps explain such asymmetries: public investment. Countries that have consistently funded green R&D — such as Sweden, Denmark, Austria, and Germany — also show the strongest patent specialisation in environmental technologies. The correlation is clear: more green R&D leads to more innovation and, ultimately, to more resilience.
Yet not all Member States have the same fiscal capacity to sustain those investments. Between 2010 and 2020, Germany and Austria spent two to three times more than countries like Italy or Portugal — economies that are highly vulnerable, heavily dependent on energy imports, and constrained by high public debt and restrictive EU fiscal rules.
In this sense, the current EU framework, which limits state aid to avoid “market distortion”, often ends up reinforcing existing inequalities.
The EU has launched a broad range of initiatives to respond to the energy and climate crisis — from the European Green Deal to REPowerEU and the more recent Net-Zero Industry Act (NZIA). These strategies aim to reduce emissions, accelerate the deployment of renewables, and strengthen domestic supply chains in clean technologies.
Yet ambition alone does not guarantee impact. Many of these policies remain vague in implementation and uneven in reach. Crucial gaps persist — particularly regarding supply-chain resilience, critical raw materials, and cohesion across Member States.
The roll-out of national recovery and resilience plans has also been markedly asymmetric: whilst some countries have advanced rapidly, others have yet to launch significant green investments. Without clear targets and binding mechanisms, the EU risks falling short of its own goals — and of its promise to leave no one behind. The response to the 2021–2023 energy shock exposed these structural divides.
All Member States intervened to protect households and firms, but their approaches — and their fiscal capacities — differed dramatically. Nordic countries relied on well-targeted income support. By contrast, many Southern and Eastern European governments turned to generalised price caps and broad subsidies: fast and politically viable, but less effective and more fiscally burdensome over time.
This asymmetry also extended to longer-term investment. Germany and the Netherlands, with ample fiscal space, launched large-scale programmes to support green industry and domestic supply chains. Meanwhile, Italy and Portugal — amongst the most vulnerable and most dependent on energy imports — were unable to match these efforts. Without reform, such fiscal imbalances will continue to entrench inequality and undermine the EU’s collective transition capacity.
A Policy Roadmap Is Urgently Needed
Our findings suggest a clear and urgent policy roadmap. First, invest where it matters most. Countries with high vulnerability and low resilience — notably Italy, Greece, Hungary, and parts of Eastern Europe — need tailored support. EU resources must be channelled towards building capacity in renewables, green manufacturing, and energy efficiency. Where national disparities are acute, such as between Northern and Southern Italy, investment should also aim at narrowing internal regional divides.
Second, break the cycle of technological dependency. Reducing fossil fuel imports is essential, but so is ending reliance on a small group of foreign suppliers for solar panels, batteries, and turbines. That calls for reshoring, diversified sourcing, and coordinated EU-level procurement strategies.
Third, rethink fiscal and state aid rules. Today’s framework constrains green investment in the very countries that need it most. Reforming EU fiscal governance is not only about stability — it is about enabling the strategic investments needed for convergence, competitiveness, and decarbonisation.
Fourth, connect energy policy with social justice. The energy transition must work for all — not only the most resilient ones. This means addressing energy poverty directly through income support, building retrofits, and ensuring equitable access to clean technologies. It also means engaging civil society to build trust and legitimacy around climate action.
Finally, turn geography into an advantage. Southern and Eastern Europe have some of the highest solar and wind potential in the EU — but they remain underutilised. Supporting clean-tech industry development in these regions — not just renewable deployment — can generate jobs, strengthen strategic autonomy, and promote truly balanced growth.
Europe’s energy transition stands at a crossroads. The choice is not just between fossil fuels and renewables — it is between a fragmented Union of divergent paths and a more cohesive bloc, capable of rising to shared challenges.
A resilient Europe must also be a fair one. If vulnerabilities are uneven, so too must be the policy response. Otherwise, the next energy crisis risks not only straining economies but also deepening mistrust and disillusionment with the European project itself.
The stakes are high. But so is the opportunity. A just and resilient transition is within reach — if we choose to bring everyone along.
